Торговая стратегия Forex Profit Launcher — более чем удивительная. Эта стратегия не следует слепо за трендом, а дает возможность торговать на мощных уровнях поддержки и сопротивления. По стратегии Forex Profit Launcher можно торговать по любым валютным парам, надо отметить, наиболее прибыльна торговля парой USD / JPY.
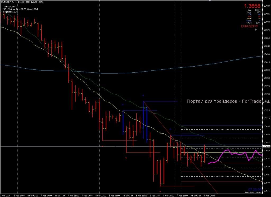
Вот так выглядит окно графика валютной пары после наложения основных индикаторов системы FX Profit Launcher и FX Profit Launcher – Targets:
где:
1. Красной наклонной линией обозначена основная тенденция или основное направление цены на данный момент.
2. Красной и синей горизонтальными линиями со стрелками отмечены последние уровни поддержки и сопротивления, последние уровни спроса и предложения в прошлом.
3. Аналогичные красная и синяя линия, но без стрелок — следующие уровни поддержки и сопротивления, согласно прогнозам это следующие уровни спроса и предложения.
4. Желтая линия является основной линией pivot или срединной линией уровней поддержки/сопровождения: выше располагается синяя линия сопротивления, ниже располагается красная линия поддержки (п. 3).
5. Между синей и красной линиями расположены серые – предполагаемые точки разворота. Как раз по этим линиям (пп. 3-5) устанавливаются цели дальнейшей торговли.
6. В левом верхнем углу экрана расположена информационная панель:
— основной тренд (Trend Up – Trend Down),
— сигналы BUY \ SELL,
— точка входа,
— уровень StopLoss.
Торговля по торговой стратегии Forex Profit Launcher
Вариант 1: простой и ясный вариант для новичков.
Шаг 1 . Определяем основной тренд по дневному графику валютной пары, чтобы знать основные тенденции валютной пары. Очевидно, что основной тренд на приведенном примере нисходящий (Down Trend) лучший вариант для этой пары — продажа.
Шаг 2. Переходим на любой низший таймфрейм, на котором такое же направление тренда, допустим, часовой.
Шаг 3. И только на этом этапе следуем инструкциям на информационной панели (Entry и StopLoss).
Шаг 4. Устанавливаем цели по линиям Pivot (все линии, отмеченные выше)
Шаг 5. Если StopLoss был слишком велик для вашего депозита, просто перейдите на меньший таймфрейм, скажем М15, для мини счетов.
Шаг 6. Для сохранения прибыли можно пользоваться Tralling Stop.
Вариант 2: еще один вариант для новичков
Основываясь на уровнях поддержки и сопротивления,также можно торговать краткосрочно по/против тренда. Такой способ торговли больше подходит валютных пар, которые длительный период времени не показывают четкую тенденцию, такие как USDCAD и EURUSD.
В этом случае для входа в рынок рекомендации с информативной панели верхней левой части графика не используются. Точками входа и выхода являются только уровни поддержки и сопротивления.
В этом случае StopLoss устанавливается на 10-15 пунктов выше/ниже сигнальной точки. Обратите внимание, что торговать нужно только по сплошным линиям.
Вариант 3: для агрессивной торговли на форекс
В этом варианте используются 3 дополнительных индикатора:
1. Bars Indicator:
если цвет бара красный — нисходящий тренд,
если цвет бара синий — восходящий тренд.
2. Market Data:
Это информативный индикатор, показывает общую информацию о рынке, а также daily high/low, spread.
3. Future Line:
Показывает предположительное движение цены в ближайшем будущем. Предсказывает этот индикатор на основе очень сложной формулы и анализа рынка. Лучше его использовать на H1 или H4 графиках.








